WSTĘP
W części pierwszej omówiłem pobór prądu przez sprężarkę pompy ciepła, przy współpracy tylko z ogrzewaniem podłogowym. Poniżej skupię się na najbardziej typowym rozwiązaniu, czyli pompie ciepła przygotowującej ciepło na potrzeby ogrzewania podłogowego i ciepłej wody użytkowej.
Jak pompa ciepła przygotowuje c.w.u.?
Zacznijmy od tego, że pompa ciepła to nie kocioł gazowy, ani grzejnik wody przepływowej. Nie jest więc w stanie przygotować ciepłej wody na bieżąco. Musi współpracować z zasobnikiem o odpowiednio dużej pojemności. Tutaj pojawia się pierwsze pytanie – jakiej? Odpowiedź nie jest prosta, bowiem zależy to w dużej mierze od wymagań użytkownika i rodzaju czynnika grzejnego, ściślej mówiąc – od koperty pracy danej pompy ciepła. Jeśli ktoś chce mieć dużą ilość cieplej wody użytkowej, a jednocześnie mały zasobnik, musi wyposażyć się w pompę ciepła, której czynnik roboczy pozwala na podgrzanie górnego źródła do temperatury minimum +65°C. W praktyce umożliwiają to pompy z czynnikiem R290 i wybrane modele z czynnikiem R32. Czynnik R410A pozwala najczęściej na maksymalną temperaturę +55°C. Czy to oznacza, że w instalacji z pompą ciepłą i czynnikiem R410A nie uzyskamy tak wysokiej temperatury? Nie. Dalszy podgrzew ciepłej wody będzie musiał być jednak realizowany przez dodatkowe źródło ciepła, jak np. grzałka elektryczna.
Tutaj dochodzimy do pierwszego wniosku. Stosowanie grzałki, to zawsze maksymalny pobór energii, więc aby jej uniknąć można obniżyć wymaganą temperaturę w zasobniku. Dla uzyskania tej samej ilości ciepłej wody o temperaturze powiedzmy +45°C potrzebna jest jednak inna jego objętość. Poniżej przykład obliczeniowy.
Załóżmy, że chcemy uzyskać dobowe zapotrzebowanie w postaci 200 litrów wody o temperaturze +45°C. Temperatura zewnętrzna wynosi 0°C. Jaka jest wymagana pojemność zasobnika i ilość energii dla zapewnienia temperatury wody w zasobniku o temperaturze zadanej +45°C i +65°C.
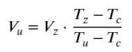
Możemy tutaj skorzystać ze wzoru:

Gdzie:
Vu – użyteczna ilość ciepłej wody w litrach
Vz – pojemność zasobnika
Tz – temperatura zadana zasobnika w °C
Tu – temperatura wody użytkowej °C
Tc – temperatura wody zimnej w instalacji °C
Dla temperatury w zasobniku +45°C użyteczna ilość ciepłej wody wyniesie dokładnie 200 litrów dla zasobnika o tej samej pojemności. Jeśli podniesiemy temperaturę zadaną do +65°C wymagana pojemność zasobnika spadnie i wyniesie:

W praktyce będzie to zasobnik o pojemności 130-150 litrów. Przyjmijmy tę mniejszą wartość.
Teraz zobaczmy zużycie energii w obu zasobnikach. Które rozwiązanie jest bardziej opłacalne? Spróbujmy to policzyć ponownie dla modelu pompy firmy Vaillant aroTHERM 5/5 AS o mocy 10 kW z czynnikiem R410A. Przy temperaturze powietrza 0°C sprawność pompy COP wyniesie około 2,74 dla obniżonej ilości obrotów do 72/sek. Jednocześnie przy tej temperaturze i obrotach pompa ma 9,6 kW mocy. Ile potrzebuje energii do ogrzania wody?



Dla naszego przypadku będzie potrzebne 11,2/9,6 = 1,17 h. Zużycie energii w tym czasie wyniesie 1,17×9,6/2,74 = 4,08 kWh.
Co w przypadku wyższej temperatury rzędu 65°C? Pompa ciepła w tych warunkach nie jest w stanie pracować. Może podnieść temperaturę wody do maksymalnie +55°C, resztę musi zapewnić grzałka elektryczna. Przy temp. +55°C pompa ma sprawność jeszcze około 2,37 dla podobnych obrotów rzędu 72/sek.

Moc cieplna w tych warunkach wyniesie 9,05 kW.

Ile energii zużyje? Najpierw obliczmy zapotrzebowanie energii dla zasobnika o pojemności 130 litrów.

Mniejszy zasobnik więc mniejsza ilość ciepła. Jak ze zużyciem energii przez pompę? Do temp. +55°C pompa ciepła będzie pracować 6,79/9,05 = 0,75godz. ze sprawnością 2,37 czyli 9,05×0,75/2,37 = 2,86 kWh. Potem będzie niezbędne dogrzanie ciepłej wody do temp. +65°C przez grzałkę elektryczną. Pobór mocy wyniesie:

Wynika z obliczeń, że całkowity pobór mocy przy wyższej temperaturze, ale mniejszym zasobniku ciepła będzie większy i wyniesie 2,86+1,51 = 4,37 kWh. Różnica jest pozornie niewielka i wynosi 0,3kWh, ale przy dalszym spadku temperatury będzie rosła i przy -7°C wyniesie już 0,46kWh. To nie wszystko. Im niższa temperatura górnego źródła, tym mniejsze zagrożenie osadzania się kamienia kotłowego w wymienniku ciepła, to też brak konieczności stosowania w układzie mieszacza, aby uniknąć poparzenia. Jaki stąd wniosek!
Bardziej opłacalne jest zakupienie większego zasobnika ciepła i obniżenie temperatury grzania!
Zwracam też uwagę, że przy temp. zewnętrznej -10°C pompa ta ma sprawność COP zaledwie 1,7. Jest to jednocześnie minimalna temperatura, przy której jednostka jest w stanie wytworzyć +55°C. Przy dalszym spadku temperatury powietrza, maksymalna temperatura w górnym źródle spada. Dla -20°C wyniesie jeszcze +43°C (wykres pracy poniżej). Pobór mocy przez grzałkę będzie więc szybko rósł.

Rys. Wykres pracy dla pompy aroTHERM 5/5 AS w trybie ogrzewania
Myślenie w stylu – ustawię wyższą temperaturę na termostacie to będę miał dużo więcej ciepłej wody za niższą cenę jest więc błędne i prowadzi w pompach ciepła do większego zużycia energii.
Jak z podgrzewaniem wody będzie sobie tym razem radzić jednostka z propanem? Dla temperatury +45°C, COP pompy dla temperatury powietrza 0°C i zmniejszonych obrotach do 70/sek wyniesie 2,9.

Dla tych samych parametrów pracy moc grzewcza pompy wyniesie jednocześnie 9,8kW.

Zużycie energii będzie więc równe (ponownie przyjmuje zasobnik 200 litrów):
11,2/9,8 = 1,14 h
1,14×9,8/2,9 = 3,85 kWh jest więc wyraźnie mniejsze niż dla pompy z czynnikiem R410A. Dla temperatury +65°C wykresy wyglądają następująco:

Sprawność w temperaturze 0°C wynosi 1,9-2,0 w zależności od obrotów. Dostępna moc 8,8kW dla obrotów 70/sek:

Jak ze zużyciem energii? Dla tej temperatury powietrza nie ma potrzeby załączać grzałki. Całe ciepło jest w stanie wytworzyć jednostka, tym samym ilość niezbędnej energii wyniesie (zbiornik 130 litrów):

i przy sprawności na poziomie 2,0 będzie to 8,29/2,0 = 4,15 kWh
Jest to więc ponownie więcej niż dla większego zbiornika ale niższej temperatury.
Tym razem różnica wyniosła również około 0,3kWh na korzyść temperatury wody +45°C. Dodajmy, że jednostka z propanem ma większy zakres pola pracy i w temperaturze -20°C wytworzy jeszcze +55°C.

Rys. Wykres pracy jednostki aroTHERM 5/6 z czynnikiem R290. (źr. Vaillant)
Podsumowując, dla jak najmniejszego zużycia prądu przez pompę ciepła dla przygotowania c.w.u. najbardziej opłaca się zakupić jednostkę z wysokotemperaturowym czynnikiem (np. R290) oraz maksymalnie ograniczać temperaturę wody w zasobniku.
c.d.n.